近日,天目湖先進儲能技術研究院有限公司聯合中國科學院物理研究所團隊自主研發出一種可在零下100攝氏度條件下使用的鋰電池,突破了目前鋰電池使用的低溫局限。

正極、負極、電解液和隔膜是鋰電池的基本組成要素。研究顯示,電解液是鋰電池得以在低溫環境下正常工作的關鍵一環。傳統鋰電池使用的是碳酸酯類電解液,電池在零下20攝氏度時性能只有其最 優水平的60%左右。因此,目前市面上電動汽車、電動自行車及其他電動工具都很難在低溫環境下正常運行。在此背景下,讓鋰電池在低溫環境下正常工作是研究人員長期以來關注的重點。
2021年5月,天目湖先進儲能技術研究院為滿足客戶需求,開始著手超低溫鋰電池的研發工作。為了解決低溫環境會降低鋰離子活性這一難點問題,研究人員進行了系列探索,最終通過引入一款新的電解液溶劑,使其與原先的碳酸酯類溶劑形成共熔體,成功研發出可在零下100攝氏度條件下使用的鋰電池。

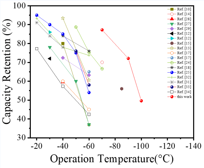
該研究院電解質實驗室高級經理蓋建麗表示,此前,文獻里有記載或報道的鋰電池可工作的最低溫度是零下70攝氏度,但放電量是非常微弱的。此次研發出的低溫鋰電池在零下100攝氏度的放電量仍然可以達到常溫放電量的60%,取得了重大突破,這對科考、深空、深海等特殊領域的發展將具有較深遠的影響
對于如何進一步突破鋰電池使用的低溫局限,蓋建麗目標清晰,她說:“除了攻克電解液的問題,接下來,我們還將對電池的正負極和隔膜等材料進行提檔升級。
超低溫電池的成功研發,也展現了天目湖先進儲能技術研究院強大的研發實力。該研究院2017年成立以來,便聚焦國家長遠目標和重大需求,開展戰略性前瞻性、基礎性的關鍵核心技術研究,推進科技成果轉移轉化。目前,研究院在固態電池、鈉離子電池、納米硅負極材料等技術研發領域已處于國際領 先水平,牽頭和參與了多項儲能領域國家和省級重點研發計劃項目,形成從前瞻技術開發、高水平測試表征、失效分析、模擬仿真到產業孵化的全鏈條發展模式,服務國內外行業客戶超過400家。

圖為公開報道的低溫電池低溫容量保持率比較。
據悉,該項技術由蓋建麗、楊紀榮、楊偉、李泉、吳曉東、李泓共同撰寫《Lithium lon Batteries Operated at -100℃》論文,并在中國物理學會創辦的英文學術月刊《Chin.Phys.Lett.》上發表。
下一步,天目湖先進儲能技術研究院將不斷促進儲能領域研發水平和研究質量的提升,共同攻克共性難題和瓶頸技術,加速新型儲能技術從實驗室走向產業化,朝著成為世界知名儲能產品高水平測試中心與關鍵技術發源地的目標不斷邁進。
2026-03-11
2026-01-27
2025-09-15